淘宝官方店     推荐课程     在线工具     联系方式     关于我们  
 
 

微波射频仿真设计   Ansoft Designer 中文培训教程   |   HFSS视频培训教程套装

 

Agilent ADS 视频培训教程   |   CST微波工作室视频教程   |   AWR Microwave Office

          首页 >> Ansoft Designer >> Ansoft Designer在线帮助文档


Ansoft Designer / Ansys Designer 在线帮助文档:


System Simulator >
Frequency Domain Analyses >
   Multi-Tone Frequency Domain Analysis >
       Time Representation of a Bandpass Envelope Multitone RF Signal           


Time Representation of a Bandpass Envelope Multitone RF Signal

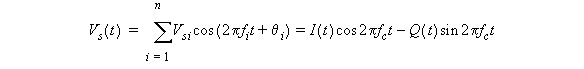
An important step for calculating IMD products in the time domain is to derive an equivalent envelope time domain representation for a given bandpass RF multi-tone source.

An RF Multi-tone source typically contains a fundamental carrier and at least one additional carrier. The equivalent source voltage Vs(t) of an RF source that has a total of n carriers (including the fundamental carrier) may be expressed as:

 

where:

f1 = The fundamental carrier frequency

P1 = The fundamental carrier available input power
= 0
fi = The ith carrier frequency

Pi = The ith carrier available input power
= The ith carrier phase (optional)
= In-phase envelope signal

= Quadrature-phase envelope signal

and
,
fc = f1

 

For the multi-tone domain analysis, the carrier frequency should meet the following requirement:

fc = f1 + kdf
, ,
where k is a positive or a negative integer.

 

The quantity is known as the complex envelope of the signal .

 

Note 

Envelope multitone frequency domain analysis results may not be accurate if df is too large. In general, the condition must hold for accurate results. If this condition does not hold, the user must turn on the “Include all harmonics” option. By default, the “Include all harmonics” option is off.




HFSS视频教学培训教程 ADS2011视频培训教程 CST微波工作室教程 Ansoft Designer 教程

                HFSS视频教程                                      ADS视频教程                               CST视频教程                           Ansoft Designer 中文教程


 

      Copyright © 2006 - 2013   微波EDA网, All Rights Reserved    业务联系:mweda@163.com