淘宝官方店     推荐课程     在线工具     联系方式     关于我们  
 
 

微波射频仿真设计   Ansoft Designer 中文培训教程   |   HFSS视频培训教程套装

 

Agilent ADS 视频培训教程   |   CST微波工作室视频教程   |   AWR Microwave Office

          首页 >> Ansoft Designer >> Ansoft Designer在线帮助文档


Ansoft Designer / Ansys Designer 在线帮助文档:


System Simulator >
Frequency Domain Analyses >
   Single-Tone Frequency Domain Analysis >
       Sweep Domain Measurements           


Sweep Domain Measurements

Measurements available within the sweep domain include:

1. Port-to-port S, Y, Z, H, G and ABCD-parameters. For a system with N external ports, N×N Y (admittance)-parameters should be available. The S (scattering), Z (impedance), H (hybrid), G (inverse hybrid) and ABCD-parameters are simply obtained using matrix conversion techniques which convert the equivalent N × N system’s Y-parameters matrix Yeq to the equivalent N × N matrix, assuming the default terminations of 50. The H, G, and ABCD parameters are calculated only for 2-port networks.

2. Port-to-port system’s noise figure (NF). NF is obtained by means of the system’s equivalent 2×2 Y matrix Yeq and 2×2 noise correlation matrix Jeq, derived during the single-tone frequency domain analysis. This noise figure is given by:

where:

K = Boltzmann’s constant
T = Physical temperature in Kelvin
= Noise bandwidth (specified by the predefined Noise Bandwidth)
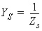
, where Zs is always defaulted to 50

and all the Y and J parameters in the above expression are associated with the entries of the system’s equivalent 2×2 Y and noise correlation matrices Yeq and Jeq.

Noise figure measurements may be obtained only for a system with two external ports, with one of the external ports being the input port. For a system with more than two external ports, all but two of the external ports must be terminated for noise figure measurements.

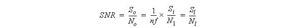
3. Signal to noise ratio SNR at the output port:

where:

Ni = KTf = -174dBm at 290Kelvin

Si = Available input power

No = Available output noise power

So = Available output power

Nl = Noise power delivered to the load

Sl = Power delivered to the load

and nf is the expression for noise figure given previously.

Similar to the noise figure measurement, the signal to noise ratio may be obtained only for a system with two external ports with one of the external ports being the input port. For a system with more than two external ports, all but two of the external ports must be terminated for SNR measurements.

4. Noise power (NPWR) delivered to the load at the output port:

The noise power measurement may be obtained only for a two-port system with all other external ports terminated.

5. Port-to-Port Group Delay GD of the system is defined as:

where = The angle of Sij(f) for the equivalent N-port system.

The above expression for group delay is approximated using finite difference. During single-tone frequency domain analysis, the system’s 2×2 equivalent Y-matrix Yeq is obtained at the input carrier frequency fc and the gain S21(fc) is extracted from this matrix by means of matrix conversion routines. Next, the frequency is slightly perturbed to
f
= (1 + PERT)fc and the system is reanalyzed to yield the perturbed gain
S21(1 + PERT)fc, then the above group delay expression is approximated by

The group delay measurement may be obtained only for a two-port system with all other external ports terminated.

6. The stability factor K of a two-port system, which is obtained by means of the equivalent two-port S-parameters of the system

where

To obtain this measurement for a system with more than two external ports, all output ports except the desired output must be terminated.

7. The Output power (Pout) at all external output ports. For a system with M external output ports, the power delivered to the jth load at the jth external port is given by

where the external port voltages are calculated as discussed below, and RL is the external port impedance.

8. The Output frequency (FOj) at the jth external output port. This output frequency is due only to the fundamental frequency of the input signal and does not include any harmonics generated within the system.

9. The voltage standing wave ratio VSWRjj at the jth external port. For a system with M external output ports:

10. The voltages at all external ports. For a system with N-external ports, these voltages may be obtained from solving the following set of linear equations:

where:

Ij = Current at jth external port = equivalent input source current for j = 1and zero otherwise.

Vj = Voltage at jth external port.

j = 1, 2, ... N

Yeq = The N × N equivalent Y-parameters matrix of the system.

11. The third order output intercept power (OIP3). This measurement is applicable only to nonlinear cascaded systems (Figure 3).

For the general cascaded topology shown in Figure 3, the third order intercept output power is governed by the following equation:

where

Gi = The gain of the ith element,

and

OIP3j = if the jth element is linear,

or

OIP3j = value calculated from user- supplied nonlinear measurement data or user-supplied OIP3 parameter if jth element is nonlinear

If the jth nonlinear element is associated with a nonlinear measurement data (e.g., Pout vs. Pin) or sub-design, an attempt is made to extract the output power at the one-dB compression point (i.e. P1dB) from this data set, which is then used to calculate OIP3j according to the formula discussed below. This calculated OIP3j would override the user-supplied parameter OIP3 (if any).

12. The one-dB compression output power (P1dB): This measurement is applicable to nonlinear cascaded systems. P1dB is related to OIP3 through the following equations:

or

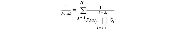
13. The saturated output power (Psat), applicable only to nonlinear cascaded systems, is calculated according to (refer to Figure 3 above):

where

Gi = The gain of the ith element,

and

Psatj = if the jth element is linear,

or

Psatj = value calculated from user- supplied nonlinear measurement data or user-supplied OIP3 parameter if jth element is nonlinear.

If the jth nonlinear element is associated with a nonlinear measurement data (e.g., Pout vs. Pin), an attempt is made first to extract the output power at the saturation point (i.e. the point where ). If this attempt fails, the above calculation will use the user-supplied Psat parameter for Psatj (if any). Finally, if this parameter is not available, the Psatj calculation will be derived from OIP3j by one of the following formulas:

or

14. The dynamic range (DynRng) for cascaded nonlinear systems.

where OIP3 and No are the system’s 3rd order intercept output power and output noise power, respectively.

15. Voltage Probes (VPs) and Power Probes (PPs) may also be placed anywhere inside the electrical system (prior to running the analysis). Each probe must be given a name by the user. Once the analysis is completed, these probes will be available in the Quantity field of the Traces dialog box. The voltage and power at the points where these probes are placed may be viewed for different swept values.

16. Return Loss (RTLj) at the jth external port. RTLj = 1/|Sjj|

17. GFMN: Gain when the input impedance (Zopt) is used to achieve a minimum Noise Figure (FMIN). Available only in two port systems.

18. Real minimum Noise Figure power ratio (FMIN) is derived from fundamental noise quantities. Available only in two port systems.

19. Real equivalent noise temperature, . Available only in two port systems.

20. Real equivalent noise resistance ratio (RN) is derived from fundamental noise quantities. Available only in two port systems.

21. Real equivalent un-normalized noise resistance (RNU): . Available only in two port systems.

22. Complex optimum noise figure source admittance (Yopt) is derived from fundamental noise quantities. Available only in two port systems.

23. Complex optimum noise figure source impedance (Zopt), available only in two port systems.

24. Complex optimum noise figure reflection coefficient (GOPT), available only in two port systems.




HFSS视频教学培训教程 ADS2011视频培训教程 CST微波工作室教程 Ansoft Designer 教程

                HFSS视频教程                                      ADS视频教程                               CST视频教程                           Ansoft Designer 中文教程


 

      Copyright © 2006 - 2013   微波EDA网, All Rights Reserved    业务联系:mweda@163.com