淘宝官方店     推荐课程     在线工具     联系方式     关于我们  
 
 

微波射频仿真设计   Ansoft Designer 中文培训教程   |   HFSS视频培训教程套装

 

Agilent ADS 视频培训教程   |   CST微波工作室视频教程   |   AWR Microwave Office

          首页 >> Ansoft Designer >> Ansoft Designer在线帮助文档


Ansoft Designer / Ansys Designer 在线帮助文档:


System Simulator >
Discrete Time Analysis >
   Linear Electrical Discrete Time Simulation with Convolution >
       Step 2: Extracting the Discrete Time Impulse and Noise Responses            


Step 2: Extracting the Discrete Time Impulse and Noise Responses

In general, a bandpass impulse response may be written in the following form:

where, as in the case of signals, the quantity

= The baseband complex envelope impulse response of the bandpass impulse response.

For discrete time simulation, this complex envelope impulse response must be represented at discrete time samples using the simulation time step ts of the input signals. This would yield:

,

In this case, the bandpass impulse response is fully characterized by its complex envelope, the input carrier frequency fc, and the simulation time step ts.

 

Note 

The simulation time step ts must simultaneously satisfy the Nyquist criterion for both the input signal bandwidth and the electrical sub-design bandwidth.

For a linear electrical sub-design with N input ports and M output ports (see Figure 5 above), the number of impulse responses needed for discrete time simulation is given by and the number of noise responses is given by M.

To extract the equivalent set of discrete time bandpass impulse responses, the principle of superposition is used whereby the voltages at the external output ports (, ) are evaluated N times (each time for Volts and Volts, ,, ). These voltages are obtained by means of solving the following set of KCL linear equations:

 

where the frequency vectors and represent the nodal voltages and currents in the system at frequency f, and Y(f) is the system’s admittance matrix at frequency f.

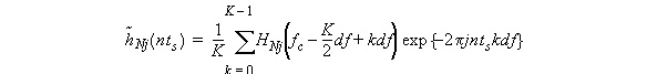
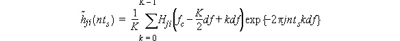
It can be shown that the equivalent set of discrete time bandpass impulse responses can be obtained in this case using the following transformations:

= ith input to jth output discrete time impulse response

where:

 

 

 

 

Lji = Length of impulse response obtained, based on the user-specified control parameter MAX_RATIO
(see Setting Discrete Time Simulation Control Parameters - Convolution).

and

when

 

 

 

As mentioned above, for a linear electrical sub-design with M output ports, the number of discrete time noise responses needed for simulation is M. For each external output port, the total noise power contribution from all input ports and the system PNj(f) at the jth external output port () is computed at the same discrete frequency points used for the sub-design impulse response evaluation. This total noise contribution includes the passive and active noise contributed by the entire sub-design.

Since the noise at the external output ports is typically colored (i.e., filtered) Gaussian noise, discrete time simulation of an electrical sub-design involves extracting the equivalent noise filter response needed to color the input white Gaussian noise.

It can be shown from the statistical theory of random processes, that the noise filter response is described by the following complex envelope at the carrier frequency fc:

where:

 

 

 

 

LNj= Length of impulse response obtained based on the user-specified control parameter MAX_RATIO
(see Setting Discrete Time Simulation Control Parameters - Convolution).

 




HFSS视频教学培训教程 ADS2011视频培训教程 CST微波工作室教程 Ansoft Designer 教程

                HFSS视频教程                                      ADS视频教程                               CST视频教程                           Ansoft Designer 中文教程


 

      Copyright © 2006 - 2013   微波EDA网, All Rights Reserved    业务联系:mweda@163.com