|
Ansoft Designer / Ansys Designer 在线帮助文档:
System Simulator >
Discrete Time Analysis > Nonlinear Electrical Component Discrete Time Simulation > Calculating the Nonlinear Output Voltage
Calculating the Nonlinear Output Voltage
Assuming a bandpass modulated input signal of the form:

where
Vs(t) is the baseband input
voltage .
is the phase of the input modulated
signal.
= In-phase envelope of the input signal.
= Quadrature-phase envelope of the input signal.
, where fc is the carrier frequency.
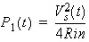
The nonlinear output voltage is calculated as:

where:




with


and



The source resistance Rin
and the load resistance Rout
are always defaulted to 50Ω, but they
can be individually specified for each input and output, respectively.

HFSS视频教程
ADS视频教程
CST视频教程
Ansoft Designer 中文教程
|