淘宝官方店     推荐课程     在线工具     联系方式     关于我们  
 
 

微波射频仿真设计   Ansoft Designer 中文培训教程   |   HFSS视频培训教程套装

 

Agilent ADS 视频培训教程   |   CST微波工作室视频教程   |   AWR Microwave Office

          首页 >> Ansoft Designer >> Ansoft Designer在线帮助文档


Ansoft Designer / Ansys Designer 在线帮助文档:


System Simulator >
Frequency Domain Analyses >
   Single-Tone Frequency Domain Analysis >
       Algorithm for Single-Tone Y-parameters Evaluation of Nonlinear Systems           


Algorithm for Single-Tone Y-parameters Evaluation of Nonlinear Systems

For single-tone bandpass analysis, it is assumed that a nonlinear element’s measurements are obtained when both the source and load have a 50 termination and the input is a bandpass single-tone signal. The measurements obtained are directly related to the large signal S-parameters of the two-port nonlinear element and the power available at the input and output ports.

For a given single-tone input, we can refer to large signal S-parameters as the operating point of the nonlinear two-port element when operating independently and terminated in 50. One would certainly expect this operating point to change when this nonlinear element is embedded in a nonlinear topology system (as in Figure 1) composed of linear and nonlinear components.

The new operating point (i.e., large-signal S-parameters) is determined for each nonlinear element using an iterative algorithm where the levels of the incident powers at both ports are interpolated iteratively until the algorithm converges to the actual operating point. This nonlinear frequency domain iterative algorithm accounts for all nonlinearities and inter-stage mismatches in the system.

For the multi-channel nonlinear topology in Figure 1, it is always assumed that parallel nonlinear channels connected to the same linear electrical subsystem are not coupled (i.e., non-interacting). This, in simple terms, implies that signals traveling in one nonlinear path do not spill over into the other nonlinear path (by virtue of the S-parameters describing the linear electrical subsystem).

This effectively implies that the signals in nonlinear channels are not coupled, and as a result, the impedances Zsn, Zinn, Zoutn, and Zln for the nth nonlinear element () in Figure 1 are well defined. With that important assumption, the iterative algorithm used for evaluating the operating point for each nonlinear element proceeds as follows (refer to Figure 1):

1. Assume an initial guess of for the first iteration () for the nth nonlinear element ().

2. Calculate the power-dependent S-parameters for the nth nonlinear element () at the kth iteration (). For the first iteration (), this would basically yield the nth nonlinear element small signal S-parameters since the initial estimate for the incident powers is zero.

3. Calculate the entire system’s Y matrix, the impedances shown in the above figure Zsn(k), Zinn(k), Zoutn(k), and Zln(k), and the nodal voltages at the input and output ports of the nth nonlinear element at the kth iteration.

4. Recalculate the incident powers at each port with () and () according to

P1n(k + 1) = The power available at the input port of the nth nonlinear element at the kth iteration when the output port is terminated in Zln(k).

and

P2n(k + 1) = The power available at the output port of the nth nonlinear element at the kth iteration when the input port is terminated in Zsn(k).

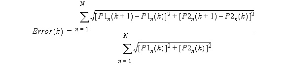
5. Form the error function

The algorithm is assumed convergent if the condition is met. If this convergence condition is not satisfied, steps 2-5 above are repeated until the algorithm converges. If the algorithm fails to converge after 30 iterations, an error in analysis message will be displayed.

Upon completion of the fundamental analysis discussed above, the measurements for single-tone frequency domain analysis may be obtained in the Sweep, Budget, Spectral and Time domains. These domains are discussed next.




HFSS视频教学培训教程 ADS2011视频培训教程 CST微波工作室教程 Ansoft Designer 教程

                HFSS视频教程                                      ADS视频教程                               CST视频教程                           Ansoft Designer 中文教程


 

      Copyright © 2006 - 2013   微波EDA网, All Rights Reserved    业务联系:mweda@163.com