淘宝官方店     推荐课程     在线工具     联系方式     关于我们  
 
 

微波射频仿真设计   Ansoft Designer 中文培训教程   |   HFSS视频培训教程套装

 

Agilent ADS 视频培训教程   |   CST微波工作室视频教程   |   AWR Microwave Office

          首页 >> Ansoft Designer >> Ansoft Designer在线帮助文档


Ansoft Designer / Ansys Designer 在线帮助文档:


System Simulator >
System Component Models >
Filters >
   Bessel-Thompson High Pass Filter (BTHPF)       

Bessel-Thompson High Pass Filter (BTHPF)

 

[spacer]

 


Properties

Description

Units

Default

Range

N

Order of filter

none

Required

³1

FC

Cutoff frequency (3dB)

Hz

Required

>0

R1

Reference resistance at node 1

Ohm

50.

³0

R2

Reference resistance at node 2

Ohm

50

³0

IL

Insertion loss in dB

 

0

³0


Notes

1. Bessel-Thompson filters are derived from a maximally-flat delay criterion (the first n deriva­tives of the delay are zero at the origin). As a result, they exhibit very good group delay char­acteristics, but at the cost of a poor attenuation performance in the stopband.

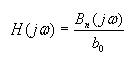
2. The transfer function of the Bessel filter is given by1:

 


where Bn(s) is the nth order Bessel polynomial, and b0=Bn(0).

 

3. The highpass filter is derived from the lowpass filter through the frequency transformation3:

 

 

4. Range for N is: 4.0 < N < 15

 

Netlist Form

BTHPF:NAME n1 [n2] N=val FC=val [R1=val] [R2=val] [IL=val]

Netlist Example

BTHPF:1 1 2 N=8 FC=4.0

References

1. Approximation methods for Electronic Filter Design, Richard W. Daniels, McGraw-Hill Book Co.

2. Handbook of Filter Synthesis, Anatol I. Zverev, John Wiley & Sons, Inc, 1967.

3. Microwave Engineering, Second Edition, David M. Pozar, John Wiley & Sons, Inc., 1998.




HFSS视频教学培训教程 ADS2011视频培训教程 CST微波工作室教程 Ansoft Designer 教程

                HFSS视频教程                                      ADS视频教程                               CST视频教程                           Ansoft Designer 中文教程


 

      Copyright © 2006 - 2013   微波EDA网, All Rights Reserved    业务联系:mweda@163.com