淘宝官方店     推荐课程     在线工具     联系方式     关于我们  
 
 

微波射频仿真设计   Ansoft Designer 中文培训教程   |   HFSS视频培训教程套装

 

Agilent ADS 视频培训教程   |   CST微波工作室视频教程   |   AWR Microwave Office

          首页 >> Ansoft Designer >> Ansoft Designer在线帮助文档


Ansoft Designer / Ansys Designer 在线帮助文档:


HFSS and Planar EM Simulators >
Planar EM Technical Notes >
   Radiated Fields >
       Radiated Fields Gain           


Radiated Fields Gain

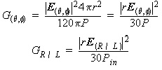
Gain is defined as the ratio of the radiation intensity in a specific direction to the power. Four values of gain are calculated, the gain based on the accepted power and input power, and the gain based on the RHCP and LHCP components of the E-field.

Designer calculates gain from the following equations:

where

• |rE| is the magnitude of the radiated electric field multiplied by the distance, r. It has units of volts.

• P is the power, in watts, and can be either of the following:

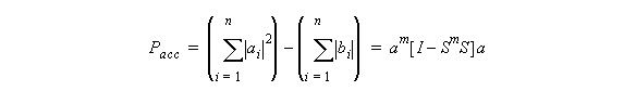
1. Pacc is the net power accepted, in watts, by the antenna and is calculated from the following:

where

• the superscript, m, indicates the complex conjugate transposed matrix.

• a is the incoming power wave vector.

• b is the outgoing power wave vector.

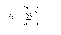
2. Pin is the input power, in watts, and is calculated from the following:

 

Note

Gain reference in Designer is an isotropic source with dBi units. However, in practice, gain is sometimes measured relative to a dipole with units of dBd. The difference between the two measurements is equal to the gain of a dipole, or 2.1dB.

 

The IEEE definition of gain does not include mismatch loss, but in practice gain is often measured with mismatch loss. In Designer “Input Gain” is calculated with mismatch loss, while “Accepted Gain” is calculated without mismatch loss. Consequently, “Accepted Gain” always yields larger values than “Input Gain”.

 

 

Note

Both field components, Ephi and Etheta, are always included in Designer calculations.




HFSS视频教学培训教程 ADS2011视频培训教程 CST微波工作室教程 Ansoft Designer 教程

                HFSS视频教程                                      ADS视频教程                               CST视频教程                           Ansoft Designer 中文教程


 

      Copyright © 2006 - 2013   微波EDA网, All Rights Reserved    业务联系:mweda@163.com