|
Ansoft Designer / Ansys Designer 在线帮助文档:
HFSS and Planar EM Simulators >
Excitations > Working with Imported S-Parameter Data > N-Ports with Two Connecting Ports
N-Ports with Two Connecting Ports
A two-port N-port has two connecting
ports and can be used to represent a complex load or a lumped element
such as a resistor, capacitor, or inductor.
Designer provides a set of sample two-port
S-parameter files for commonly used lumped elements. These
two-port S-parameter files have the .s2p extension
and are in the Touchstone format. The 0OHM.s2p
file corresponds to an idealized two-port short, the 50OHM.s2p file to an idealized two-port
50-ohm load, and the 100OHM.s2p
file to an idealized two-port, 100-ohm load.
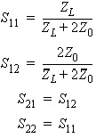
The S-parameters of a two-port lumped element can be computed by

where ZL is the complex
impedance of lumped element and Zo is the reference impedance (typically
50 ohms) of the lumped element. The format for the sample .s2p file
is illustrated below.


HFSS视频教程
ADS视频教程
CST视频教程
Ansoft Designer 中文教程
|