淘宝官方店     推荐课程     在线工具     联系方式     关于我们  
 
 

微波射频仿真设计   Ansoft Designer 中文培训教程   |   HFSS视频培训教程套装

 

Agilent ADS 视频培训教程   |   CST微波工作室视频教程   |   AWR Microwave Office

          首页 >> Ansoft Designer >> Ansoft Designer在线帮助文档


Ansoft Designer / Ansys Designer 在线帮助文档:


Nexxim Simulator >
Nexxim Component Models >
Nexxim Filters >
   Raised Cosine Low Pass Filter       

Raised Cosine Low Pass Filter

 

[spacer]

Netlist Syntax

An instance of a raised cosine low pass filter has the following Nexxim netlist syntax:

Axxx n1 n2 [FC=val] [E=val] [B=val] [R1=val] [R2=val] [IL=val] COMPONENT=raised_cosine_low_pass_filter

n1 and n2 are the nodes connected to the filter. The entry COMPONENT=raised_cosine_low_pass_filter is required.

 


Raised Cosine Low Pass Filter Instance Parameters

Parameter

Description

Units

Default

FC

Cutoff frequency

Hz

1e9

E

Exponential parameter

None

0.5

B

Rolloff factor

None

0.25

R1

Reference resistance for node 1

Ohm

50

R2

Reference resistance for node 2

Ohm

50

IL

Insertion loss

dB

0


Netlist Example

A22 1 2 FC=80e6 E=0.5 B=0.25 R1=50 R2=50 IL=0
+ COMPONENT=raised_cosine_low_pass_filter

Notes

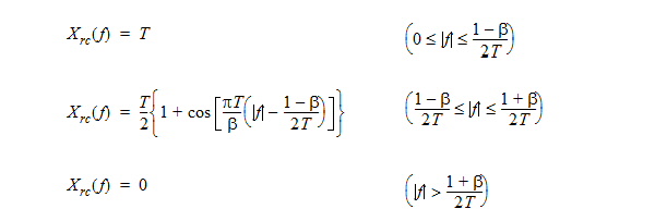
1. The raised cosine frequency characteristic is given by:

 

where T is the symbol interval and b (parameter B) is the rolloff factor, which takes values ranging from 0 to 1.

2. The bandwidth occupied by the signal beyond the Nyquist frequency 1/2T is called the excess bandwidth and is usually expressed as a percentage of the Nyquist frequency. For example, when B=0.5, the excess bandwidth is 50%, and when B=1.0, the excess bandwidth is 100%.

3. The exponential parameter E raises the transfer function to the power E: HFRC(jw)=(HRC(jw))E. The default value E=0.5 is typically used in a cascade of identical transmit and receive filters.

4. At DC, the filter is implemented as a short circuit.

Reference

1. G. Proakis, Digital Communications, McGraw-Hill, 1989




HFSS视频教学培训教程 ADS2011视频培训教程 CST微波工作室教程 Ansoft Designer 教程

                HFSS视频教程                                      ADS视频教程                               CST视频教程                           Ansoft Designer 中文教程


 

      Copyright © 2006 - 2013   微波EDA网, All Rights Reserved    业务联系:mweda@163.com