|
微波射频仿真设计 |
|
| 首页 >> Ansoft Designer >> Ansoft Designer在线帮助文档 |
|
Nexxim Simulator > Raised Cosine Band Pass Filter
![]() Netlist SyntaxAn instance of a raised cosine band pass filter has the following Nexxim netlist syntax: Axxx n1 n2 [FL=val] [FU=val] [E=val] [B=val] [R1=val] [R2=val] [IL=val] COMPONENT=raised_cosine_band_pass_filter n1 and n2 are the nodes connected to the filter. The entry COMPONENT=raised_cosine_band_pass_filter is required.
Netlist ExampleA22 1 2 FL=80e6 FU=100e6 E=0.5 B=0.25 R1=50 R2=50
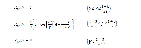
IL=0 Notes1. The raised cosine frequency characteristic is given by:
where T is the symbol interval and b (parameter B) is the rolloff factor, which takes values ranging from 0 to 1. 2. The bandwidth occupied by the signal beyond the Nyquist frequency 1/2T is called the excess bandwidth and is usually expressed as a percentage of the Nyquist frequency. For example, when B=0.5, the excess bandwidth is 50%, and when B=1.0, the excess bandwidth is 100%. 3. The exponential parameter E raises the transfer function to the power E: HFRC(jw)=(HRC(jw))E. The default value E=0.5 is typically used in a cascade of identical transmit and receive filters. 4. At DC, the filter is implemented as a short circuit. References1. J. G. Proakis, Digital Communications, McGraw-Hill, 1989
HFSS视频教程 ADS视频教程 CST视频教程 Ansoft Designer 中文教程 |
|
Copyright © 2006 - 2013 微波EDA网, All Rights Reserved 业务联系:mweda@163.com |
|