|
微波射频仿真设计 |
|
| 首页 >> Ansoft Designer >> Ansoft Designer在线帮助文档 |
|
Nexxim Simulator > Bend, Unmitered
![]()
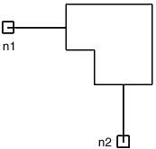
![]() Netlist FormAxxxx n1 n2 W1=val W2=val [NSUM=val] n1 and n2 are the names of the nodes attached to the unmitered bend. The entry COMPONENT=unmitered_bend identifies the element as an unmitered bend. The entry SUBSTRATE=substrate_name identifies the microstrip substrate model name selected for the design (see Selecting a Microstrip Substrate). See the Microstrip (MS) Substrate for information on this substrate type.
Netlist ExampleAbend1 1 2 W1=3e-4 W2=5e-3 NSUM=3 where FR4, the selected layout technology or substrate type, has a definition such as: .SUB FR4 MS( H=7.6200e-004 Er=4.4 TAND=0.02 TANM=0 Notes1. [All substrates] This element refers to a right angle bend, where the two intersecting lines can be defined with different widths. The outer corner of the bend is not mitered. 2. [All substrates] Reference planes coincide with the inside vertex of the corner. 3. [Microstrip] Radiation loss is included if a cover is not specified in the substrate definition. References1. Wolff, G. Kompa, and R. Mehran, “Calculation method for microstrip discontinuities and T-junctions,” Electron. Lett., Vol. 8, 1972, pp. 177-179. 2. G. Kompa, and R. Mehran, “Planar waveguide model for calculating microstrip components,” Electron. Lett., Vol. 11, 1975, pp. 459-460. 3. T. Okoshi, Planar Circuits for Microwaves and Lightwaves, Springer-Verlag, Berlin, New York, 1983. HFSS视频教程 ADS视频教程 CST视频教程 Ansoft Designer 中文教程 |
|
Copyright © 2006 - 2013 微波EDA网, All Rights Reserved 业务联系:mweda@163.com |
|