淘宝官方店     推荐课程     在线工具     联系方式     关于我们  
 
 

微波射频仿真设计   Ansoft Designer 中文培训教程   |   HFSS视频培训教程套装

 

Agilent ADS 视频培训教程   |   CST微波工作室视频教程   |   AWR Microwave Office

          首页 >> Ansoft Designer >> Ansoft Designer在线帮助文档


Ansoft Designer / Ansys Designer 在线帮助文档:


Nexxim Simulator >
VerifEye and QuickEye Analyses >
   QuickEye and VerifEye Technical Notes >
       Continuous Time Linear Equalization           


Continuous Time Linear Equalization

Communication channels typically attenuate the high-frequency components of the signal more than the low-frequency components. High-frequency rolloff degrades rise and fall times. Continuous-Time Linear Equalization (CTLE) compensates for this loss by inserting a high-pass filter at the receiver.

The Nexxim implementation uses a first- or second-order filter model. To enable CTLE, the user gives the frequency for the first pole (f1). Optionally, the user can supply a frequency for the second, parasitic pole (f2), a zero frequency for the response curve, and a list of allowable AC/DC Gain values. The first pole frequency f1 is the lower bound of the high passband. The optional second pole frequency f2 is the upper bound. The optional zero frequency fz is the beginning of the upslope in the response curve.

Nexxim varies the Gain to find the optimum equalization for the channel. The list of gain values can contain one value or several. If no list of Gain values is supplied, Nexxim calculates the optimum CTLE gain between the linear values 0 to 1 (-infinity dB to 0 dB).

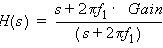
The transfer function with just the first pole frequency is:

 

 

 

The transfer function with both poles is:

 

 

 

The transfer function with both poles and the zero frequency is:

 

 

 

 




HFSS视频教学培训教程 ADS2011视频培训教程 CST微波工作室教程 Ansoft Designer 教程

                HFSS视频教程                                      ADS视频教程                               CST视频教程                           Ansoft Designer 中文教程


 

      Copyright © 2006 - 2013   微波EDA网, All Rights Reserved    业务联系:mweda@163.com