淘宝官方店     推荐课程     在线工具     联系方式     关于我们  
 
 

微波射频仿真设计   Ansoft Designer 中文培训教程   |   HFSS视频培训教程套装

 

Agilent ADS 视频培训教程   |   CST微波工作室视频教程   |   AWR Microwave Office

          首页 >> Ansoft Designer >> Ansoft Designer在线帮助文档


Ansoft Designer / Ansys Designer 在线帮助文档:


Design Verification >
   Design Verification Commands >
       Geometry Checking Commands >
           WidthTo Commands               


WidthTo Commands

The descriptions in this section pertain to the following commands:

• WidthToErrors

• WidthToPolygons

 

Input: DV layer (containing polygons)

           Constraint (operator and positive real number)

           Measurement region qualifier (optional)

           Orientation qualifiers (optional)

           Adjacent Edge qualifier (optional)

           Raw/Merged qualifier (optional)

Output: DV layer – type varies with the command. WidthToErrors outputs a DV layer containing error clusters. WidthToPolygons outputs a DV layer containing polygons. WidthToEdges outputs a DV layer containing edges.

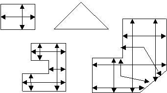
Description: Checks the width of individual geometry. Width is the distance between facing, inside edges on the same geometry. This is an edge-to-edge check, not corner-to-corner, or corner-to-edge.

 

The arrows in the figures below indicate the edge pairs that are checked when using default orientation and adjacent qualifiers: Acute Also, Not Obtuse, Parallel Also, Not Perpendicular, and Not Adjacent.

 

• WidthToErrors results are clusters of segments that meet the specified constraints. Each error segment indicates the portion of the geometry edge that meets the constraint. The error clusters are returned in a DV layer. The heavy lines in the illustration that follows show the portions of edges that are returned as two error clusters.

 

• WidthToPolygons results are polygons that have at least one edge pair that meets the specified constraints. The constraint amount may be given with or without units. If no units are specified the current default length units are used. The polygons are returned in a DV layer. The entire polygon in the following illustration is returned.

 

Supported operators:

          <   Less than

          <= Less than or equal to

          == Equal to

          >   Greater than

          >= Greater than or equal to

 

Qualifiers may be specified to constrain the edges checked. The defaults if qualifiers are not specified are Round (measurement region), Acute Also, Not Obtuse, Parallel Also, Not Perpendicular, Not Adjacent, and Merged (geometry).

 

Example (JScript):

var layer1 = DVChecker.ImportLayer("trace");

var widthLayer1 = DVChecker.WidthToErrors(Array(“<”, 5), layer1,

Array(“Round”, “Acute Also”, “Not Obtuse”, “Parallel Also”, “Not Perpendicular”,

“Adjacent Also”, “Merged”));

DVChecker.SaveLayer(widthLayer1, “width errors”, “width < 5 on trace layer”);

 

 




HFSS视频教学培训教程 ADS2011视频培训教程 CST微波工作室教程 Ansoft Designer 教程

                HFSS视频教程                                      ADS视频教程                               CST视频教程                           Ansoft Designer 中文教程


 

      Copyright © 2006 - 2013   微波EDA网, All Rights Reserved    业务联系:mweda@163.com