一种通用超宽频带波导同轴转换的设计和HFSS仿真
摘要:本文主要针对常用频段波导类微波器件实际调试和测试的工程需要,设计出结构简单、加工方便、 调试容易,并能覆盖较宽频带的探针激励形式波导同轴转换,该种形式的WCC 现已覆盖BJ32、BJ48 等标准矩形波导口径,带宽均已达到40%以上,并在上述波导口径所覆盖的全频带内获得优良的电气性能。
1.引言
在一个微波系统中,有时难免会出现两种不同类型的传输线,例如既有同轴线又有矩形波导,或既有同轴线又有微带线,把两种不同类型传输线连接起来的微波元件称为激励器或转换器。由于激励器或转换器直接影响整个系统的性能,故而研究此类元件从而提高它们的性能显得十分重要[1]。然而激励器或转换器边界条件十分复杂,要严格地进行理论分析十分困难,只有极少数结构较为规则的激励器可作定量分析,传统的研究方法主要依赖试验测定 和调节,设计周期较长,因此选择行之有效的仿真工具可大大提高设计效率。 为了满足工程需要,本文的波导同轴转换选用探针激励形式。根据现有的探针激励形式的波导同轴转换研究理论,结合以往的工程经验,利用Ansoft 公司的HFSS 软件进行仿真设计与优化,获得了优良的工作性能。这种波导同轴转换的带宽可以达到40%以上,基本 可以覆盖波导口径所对应的主模可用频带。
2.波导同轴转换设计与测试
2.1 波导同轴转换基本原理
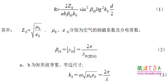
常用波导同轴转换采用探针激励来实现,它的输出是通过作为同轴线内导体的细圆柱(即探针)插入矩形波导的宽壁来激励主模TE10 波的。在这种装置中,探针两边都将激励起电磁波,因此要很好的选择短路面的位置来使同轴线与波导之间很好的匹配。值得注意的是,金属探针还会激励起不少其它的模式,如TE11、TE01、TE12、TM11、TM12 等,但只要选择合适的波导尺寸,使得λ g(其它模式)< λ <λg(TE10),就能使其它高次模在靠近激励装置的附近就衰减了。一般情况下,根据传输功率的大小,所要求的频带宽度等激励装置都由经验确定。激励装置应与波导很好的匹配,使大部分能量都传入波导[2]。习惯上我们将探针作为一小天线向矩形波导辐射能量。波导同轴转换除了要求激励所需模式外还要求输出最大功率,使激励装置与波导匹配,波导中不存在反射。探针天线向波导内辐射功率的大小,通常用探针的辐射电阻R 来表示,可以写成

可从上述(1)式中明显地看出:适当地选择探针的长度d和短路位置l 就能使辐射电阻R等于同轴线的等效阻抗Ze,这样就能保证同轴线探针的功率大部分传输到矩形波导中去。
2.2 分析与设计
在以往工程实践中可采用在探针上添加介质套、加粗探针顶端部分的方式来实现阻抗匹配和展宽带宽的目的。本文在设计中采用探针馈电的基本方式,结合既有的理论分析,参考以往工程实践经验,同时采用上述两种措施来进行设计。
由于探针在波导中相当于一个小天线,向四周辐射能量。其位置按耦合匹配要求而定, 比如,在电场波腹处,即宽边a 的中间,使得耦合最强。对于TE10波型,可将探针置于波导宽壁的中心线处[3]。
若探针位于波导宽壁的中心线处,探针到波导短路位置的距离l 可取为λ g0/4 (λg 0是对应于中心频率的波导波长)。在实际的结构中,经过仿真调试,确定l 的选取在该长度附近。为了实现匹配,在探针上添加一个介质套,所用的材料选择工程上常用的Teflon (εr =2.1),这样可以有效的降低波导的等效阻抗,并能较少对频率的敏感性,从而达到改善匹配和展宽带宽的目的。
对于测试附件而言,要求在尽可能宽的频带内具有良好的电气性能。而若想扩宽波导同轴转换的频带,有效的抑制探针所激励出的高次模是非常重要的。除所需的主模TE10 模之外,探针能激励起沿波导宽边具有奇数次电场变化的波,因此需要选择合适的波导尺寸,使得高次模得以衰减。由于介质套的引入与探针顶端部分加粗的影响,容易在设计频带的高端频点产生TE11/TM11两种高次模。这两种高次模的截止波长λ c 均与矩形波导窄壁的内尺寸b 有关,[4]可以通过减小b 尺寸来降低高次模的截止波长,同时要保证探针到标准波导口面有一定距离(经过仿真验证该距离至少为λg /4 ),从而使高次模得到衰减,实现扩宽频带的目的。
-
国内最全面的HFSS培训课程,包含7套视频教程和2本教材,资深专家讲解,视频操作演示,结合最新工程案例,让HFSS学习不再难...【详细介绍】
- s参数仿真结果与文献不一致,…
如何用HFSS仿真一端微带线
免费下 801页的hfss full bo…
AppCAD
新手请教:硅的epsilon/介电…
新手请教:HFSS里加的激励Ex…
我错在那里
关于HFSS使用
差分线波端口的设置问题
Hfss中lumped port 设置问题
- · HFSS视频培训课程
- · HFSS电磁仿真设计应用详解-在线阅读
- · HFSS教程
- · HFSS百科问答
