淘宝官方店     推荐课程     在线工具     联系方式     关于我们  
 
 

微波射频仿真设计   Ansoft Designer 中文培训教程   |   HFSS视频培训教程套装

 

Agilent ADS 视频培训教程   |   CST微波工作室视频教程   |   AWR Microwave Office

          首页 >> Ansoft Designer >> Ansoft Designer在线帮助文档


Ansoft Designer / Ansys Designer 在线帮助文档:


HFSS and Planar EM Simulators >
Excitations >
   Deembedding >
       S Matrix Calculation from the Series Impedances to be Deembedded           


S Matrix Calculation from the Series Impedances to be Deembedded

 

[spacer]

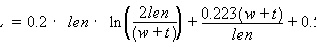
Experimental Formula

 

 

(5)

Where:

Input: w = width of the lumped port [mm]

len = length of the lumped port[mm]

t = 0.0

Output: L[nH]

And

 

 

(6)

 

 

 




HFSS视频教学培训教程 ADS2011视频培训教程 CST微波工作室教程 Ansoft Designer 教程

                HFSS视频教程                                      ADS视频教程                               CST视频教程                           Ansoft Designer 中文教程


 

      Copyright © 2006 - 2013   微波EDA网, All Rights Reserved    业务联系:mweda@163.com