淘宝官方店     推荐课程     在线工具     联系方式     关于我们  
 
 

微波射频仿真设计   Ansoft Designer 中文培训教程   |   HFSS视频培训教程套装

 

Agilent ADS 视频培训教程   |   CST微波工作室视频教程   |   AWR Microwave Office

          首页 >> Ansoft Designer >> Ansoft Designer在线帮助文档


Ansoft Designer / Ansys Designer 在线帮助文档:


HFSS and Planar EM Simulators >
Excitations >
   Working with Imported S-Parameter Data >
       N-Ports with Two Connecting Ports           


N-Ports with Two Connecting Ports

A two-port N-port has two connecting ports and can be used to represent a complex load or a lumped element such as a resistor, capacitor, or inductor.

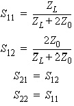
Designer provides a set of sample two-port S-parameter files for commonly used lumped elements. These two-port S-parameter files have the .s2p extension and are in the Touchstone format. The 0OHM.s2p file corresponds to an idealized two-port short, the 50OHM.s2p file to an idealized two-port 50-ohm load, and the 100OHM.s2p file to an idealized two-port, 100-ohm load. The S-parameters of a two-port lumped element can be computed by

where ZL is the complex impedance of lumped element and Zo is the reference impedance (typically 50 ohms) of the lumped element. The format for the sample .s2p file is illustrated below.




HFSS视频教学培训教程 ADS2011视频培训教程 CST微波工作室教程 Ansoft Designer 教程

                HFSS视频教程                                      ADS视频教程                               CST视频教程                           Ansoft Designer 中文教程


 

      Copyright © 2006 - 2013   微波EDA网, All Rights Reserved    业务联系:mweda@163.com