淘宝官方店     推荐课程     在线工具     联系方式     关于我们  
 
 

微波射频仿真设计   Ansoft Designer 中文培训教程   |   HFSS视频培训教程套装

 

Agilent ADS 视频培训教程   |   CST微波工作室视频教程   |   AWR Microwave Office

          首页 >> Ansoft Designer >> Ansoft Designer在线帮助文档


Ansoft Designer / Ansys Designer 在线帮助文档:


Nexxim Simulator >
Nexxim Component Models >
Grounded Coplanar Waveguide Elements >
   Unmitered Bend, Gap Width       

Unmitered Bend, Gap Width


 

[spacer]

Netlist Format

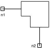
An instance of a grounded coplanar waveguide unmitered bend, gap width, has the following netlist syntax:

Axxx n1 n2 [W=val] [G=val]
COMPONENT=gcpw_unmitered_bend SUBSTRATE=substrate_name

n1 and n2 are the names of the nodes attached to the bend. The entry COMPONENT=gcpw_unmitered_bend identifies the element as a grounded coplanar waveguide unmitered bend, gap width specified.

The SUBSTRATE=substrate_name is the grounded coplanar waveguide substrate model name selected for the design (see Selecting a Grounded Coplanar Waveguide Substrate for details).

 


Grounded Coplanar Waveguide Unmitered Bend, Gap Widthm Instance Parameters

Parameter

Description

Units

Default

W1

Center conductor width

Meter

1.0e-3

G

Gap width

Meter

1.0e-3


Netlist Example

A5 Port1 Port2 W=0.75e-3 G=1.1e-3
+ COMPONENT=gcpw_unmitered_bend
SUBSTRATE=GCPW1

where GCPW1, the selected layout technology or substrate type, has a definition such as:

.SUB GCPW1 GCPW(
+ H=0.001524 Er=4.4 TAND=0.02 HU=2.54E-4
+ MET1=1.724137931034483 T1=2.54e-5 RGH=0)

Notes

1. Reference planes coincide with the inside vertex of the corner, as shown in the figure.

2. For accurate results, the substrate definition should specify:
H > W + 2´G
0.1 < W/(W1 + 2´G) < 0.9

3. The coplanar mode is assumed to exist only. Parasitic effects due to air bridges are not considered by this model.

 




HFSS视频教学培训教程 ADS2011视频培训教程 CST微波工作室教程 Ansoft Designer 教程

                HFSS视频教程                                      ADS视频教程                               CST视频教程                           Ansoft Designer 中文教程


 

      Copyright © 2006 - 2013   微波EDA网, All Rights Reserved    业务联系:mweda@163.com