淘宝官方店     推荐课程     在线工具     联系方式     关于我们  
 
 

微波射频仿真设计   Ansoft Designer 中文培训教程   |   HFSS视频培训教程套装

 

Agilent ADS 视频培训教程   |   CST微波工作室视频教程   |   AWR Microwave Office

          首页 >> Ansoft Designer >> Ansoft Designer在线帮助文档


Ansoft Designer / Ansys Designer 在线帮助文档:


System Simulator >
Frequency Domain Analyses >
   Single-Tone Frequency Domain Analysis       


Single-Tone Frequency Domain Analysis

Single tone frequency-domain analysis is applicable only to electrical systems comprised of linear/nonlinear frequency-based elements. Systems containing functional time-based elements may not be analyzed in the frequency domain. Single-tone frequency analysis ignores any intermodulation products/harmonics generated by nonlinear elements in the system, such as amplifiers, mixers, and frequency multipliers. Frequency domain analysis is applicable to a general multi-channel nonlinear electrical topology like the one shown in the following figure:

Such a topology is typically comprised of multi-port linear passive elements and two-port linear/nonlinear active elements. In addition, it is assumed that the system has only one input port where a single-tone RF source is applied during analysis, such as those sources with swept parameters.

Single-tone frequency domain analysis is primarily based on evaluating the admittance matrix Y and the corresponding noise based correlation matrix J. The admittance matrix may then be used to solve for the system’s internal/external voltages using Kirchoff’s Current Law (KCL) linear formulation. The Y-parameter representation for two-port/multi-port elements may be easily obtained from the S-parameter characterization by means of commonly used transformation formulas [1].

For an RF source with a given input carrier frequency fc and an available input power P1 applied to the input port of the system, the Y-parameters and noise correlation matrices are calculated for each passive and active electrical element within the entire system. These matrix calculations are typically associated with each element’s single-tone input frequency.

In general, during single-tone frequency domain analysis, the frequency within the system may be translated due to the presence of mixers. It is assumed that this frequency translation (i.e., mixing) is linear in nature (i.e., does not generate any additional harmonics) to ensure the presence of a single-tone at each node within the system.

Analysis of harmonics and intermodulation products generated by mixers and nonlinear amplifiers will be discussed later in the section on Multi-tone Frequency Domain Analysis.

For an N-port linear electrical element, the NxN Y-parameters matrix relates the element’s voltages and currents using the following set of linear equations:

Using this NxN Y-parameter matrix, the passive noise correlation matrix may be derived as follows [2]:

where:
K = Boltzmann’s constant
T = Physical temperature in Kelvin
= Noise bandwidth (specified in the frequency domain solution setup dialog)

= Statistical average
* = Complex conjugate

For a two-port active or passive element (Figure 2), the 2x2 Y-parameter matrix relates the element’s voltages and currents using the following set of linear equations:

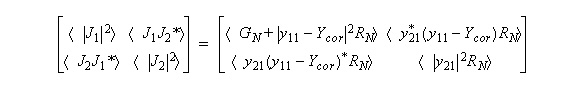
For an active linear or nonlinear electrical element, the Y-based active noise correlation matrix is given by [2]:

 

Where:

 

 

 

 

< . > = Statistical average

* = Complex conjugate

Fmin, G0, B0, and R are the four spot noise parameters with defaults of 0dB, 1/50, 0, and 50Ω, respectively.

Based on the connections of the different elements within the system, the overall system Y-parameters matrix Y and noise correlation matrix J may be constructed from the individual matrices obtained for all the elements in the system. Assuming the system has a total number of M ports, the system’s Y and J matrices may be constructed in the following form:

is the System’s Y-parameters matrix.

is the System’s passive and active noise correlation matrix .

Where

e = Number of external ports in the system

i = Number of internal ports in the system
= Total number of ports in the system

The system’s Y-parameters and noise correlation matrices Y and J may be reduced to their equivalent Y-parameters and noise correlation matrices Yeq and Jeq respectively [2]:

 

and

 

with

 

and

identity matrix

 

The topics for this section include:

Algorithm for Single-Tone Y-parameters Evaluation of Nonlinear Systems

The Sweep Domain

Sweep Domain Measurements

Topology Restrictions for the Sweep Domain

Assumptions Made for Sweep Domain Measurements

The Budget Domain

Budget Domain Measurements

Topology Restrictions for the Budget Domain

Assumptions Made for Budget Domain Measurements

 




HFSS视频教学培训教程 ADS2011视频培训教程 CST微波工作室教程 Ansoft Designer 教程

                HFSS视频教程                                      ADS视频教程                               CST视频教程                           Ansoft Designer 中文教程


 

      Copyright © 2006 - 2013   微波EDA网, All Rights Reserved    业务联系:mweda@163.com