淘宝官方店     推荐课程     在线工具     联系方式     关于我们  
 
 

微波射频仿真设计   Ansoft Designer 中文培训教程   |   HFSS视频培训教程套装

 

Agilent ADS 视频培训教程   |   CST微波工作室视频教程   |   AWR Microwave Office

          首页 >> Ansoft Designer >> Ansoft Designer在线帮助文档


Ansoft Designer / Ansys Designer 在线帮助文档:


System Simulator >
System Component Models >
WCDMA Transmitter >
   Gold Sequence Generator (GOLD)       

Gold Sequence Generator (GOLD)

 

 


Property

Description

Units

Default

Range/Type/Type

L

Length of shift register

None

5

[2, 63]/Integer

N

Period of the m-sequence

None

31

[1, Inf)/Integer

PL1

The first primitive polynomial (low 32 bits) in decimal

None

37

[1, Inf)/Integer

PH1

The first primitive polynomial (high 32 bits) in decimal

None

0

[0, Inf)/Integer

PL2

The second primitive polynomial (low 32 bits) in decimal

None

37

[1, Inf)/Integer

PH2

The second primitive polynomial (high 32 bits) in decimal

None

0

[0, Inf)/Integer

SL1

Initial state of the first shift register (low 32 bits) in decimal

None

1

[0, Inf)/Integer

SH1

Initial state of the first shift register (high 32 bits) in decimal

None

0

[0, Inf)/Integer

SL2

Initial state of the second shift register (low 32 bits) in decimal

None

1

[0, Inf)/Integer

SH2

Initial state of the second shift register (high 32 bits) in decimal

None

0

[0, Inf)/Integer

NC

Number of chips

None

Required

[0, Inf)/Integer

RC

Chip rate of the m-sequence

Hz

1000

(0, Inf)/Real

T

True output value

None

-1

(-Inf, Inf)/Real

F

False output value

None

1

(-Inf, Inf)/Real

ROUT

Output impedance

Ohm

0

[0, Inf)/Real

Ports

Output

Truncated Gold sequence (real)


 

Notes

1. The Gold Sequence Generator model is used to generate Gold sequence.

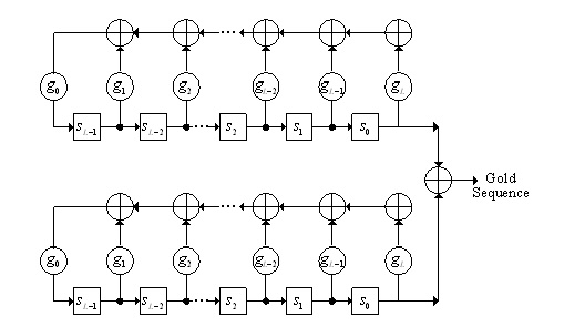
2. The Gold sequence can be generated by taking modulo-2 sum of two m-sequences with different offset in Galois field. Not all pairs of m-sequences do generate Gold sequence and those which generate Gold sequence are called preferred pairs. A typical LFSR structure used to be generate a family of Gold sequences is illustrated in Fig.1. For detailed description of LFSR, please refer to the m-sequence Generator model.

3. As in the m-sequence Generator model, that the primitive polynomial in binary is gog1...gL and the initial state of the shift register in binary is SL-1SL-2...S0.

Fig. 1 Block diagram of Gold Sequence Generator

Netlist Form

GOLD:NAME n1 L=val [N =val] [PL1=val] [PH1 =val] [PL2=val] [PH2 =val] [SL1=val] [SH1 =val] + [SL2=val] [SH2 =val] NC=val [RC=val] [T=val] [F =val] [ROUT=val]

Netlist Example

GOLD:1 1 L = 5 N=31 PL1 = 41 PH1 = 0 PL2 = 41 PH2 = 0 SL1 = 31 SH1 = 0 SL2 = 1 SH2 = 0 NC = 124 + RC = 1khz T= 1 F= 0

References

1. J. G. Proakis, Digital Communications, McGraw-Hill, 2001.

2. R. L. Peterson, R. E. Ziemer, and D. E. Borth, Introduction to Spread Spectrum Communica­tions. Prentice Hall International Editions, 1995.

 




HFSS视频教学培训教程 ADS2011视频培训教程 CST微波工作室教程 Ansoft Designer 教程

                HFSS视频教程                                      ADS视频教程                               CST视频教程                           Ansoft Designer 中文教程


 

      Copyright © 2006 - 2013   微波EDA网, All Rights Reserved    业务联系:mweda@163.com