|
微波射频仿真设计 |
|
| 首页 >> Ansoft Designer >> Ansoft Designer在线帮助文档 |
|
HFSS and Planar EM Simulators > S Matrix Calculation from the Series Impedances to be Deembedded
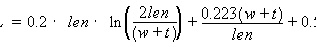
![]() Experimental Formula
Where: Input: w = width of the lumped port [mm] len = length of the lumped port[mm] t = 0.0 Output: L[nH] And
HFSS视频教程 ADS视频教程 CST视频教程 Ansoft Designer 中文教程 |
|
Copyright © 2006 - 2013 微波EDA网, All Rights Reserved 业务联系:mweda@163.com |
|