|
Ansoft Designer / Ansys Designer 在线帮助文档:
HFSS and Planar EM Simulators >
Excitations > Working with Imported S-Parameter Data > N-Ports with One Connecting Port
N-Ports with One Connecting Port
A one-port N-port has only one connecting
port and can be used to represent a complex load or a lumped element
such as a resistor, capacitor, or an inductor. It can also be used to
represent a section of corporate-fed antenna array.
A one-port N-port can also be used
to represent a load. For example, a one-port N-port with
an S-parameter file consisting of S11
= -1 for all frequencies is an idealized shorting pin to
ground.
Designer provides you with a set of sample one-port
S-parameter files in the Touchstone format for commonly
used lumped elements. These one-port S-parameter
files have the .s1p extension. The 50OHM.s1p
file corresponds to an idealized one-port, 50-ohm
load and the 100OHM.s1p file corresponds
to an idealized one-port, 100-ohm load. The
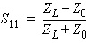
S-parameter file for a one-port lumped element
can be created by replacing the S11 component in the sample file by , where ZL is the
complex impedance of lumped element and Zo
is the reference impedance (typically 50 ohms) of the lumped element.
The format for the sample .s1p files is illustrated below. This Touchstone
file represents a 50-ohm load.

Touchstone files may be in MA (magnitude, angle)
or RI (real, imaginary) format.

HFSS视频教程
ADS视频教程
CST视频教程
Ansoft Designer 中文教程
|