淘宝官方店     推荐课程     在线工具     联系方式     关于我们  
 
 

微波射频仿真设计   Ansoft Designer 中文培训教程   |   HFSS视频培训教程套装

 

Agilent ADS 视频培训教程   |   CST微波工作室视频教程   |   AWR Microwave Office

          首页 >> Ansoft Designer >> Ansoft Designer在线帮助文档


Ansoft Designer / Ansys Designer 在线帮助文档:


Nexxim Simulator >
Nexxim Component Models >
Microstrip Elements >
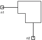
   Bend, Unmitered       

Bend, Unmitered

 

[spacer]

 

Netlist Form

Axxxx n1 n2 W1=val W2=val [NSUM=val]
COMPONENT=unmitered_bend SUBSTRATE=substrate_name

n1 and n2 are the names of the nodes attached to the unmitered bend. The entry COMPONENT=unmitered_bend identifies the element as an unmitered bend. The entry SUBSTRATE=substrate_name identifies the microstrip substrate model name selected for the design (see Selecting a Microstrip Substrate). See the Microstrip (MS) Substrate for information on this substrate type.

 


Unmitered Bend Instance Parameters

Parameter

Description

Unit

Default

W1

Width of line 1

Meter

0.001

W2

Width of line 2

Meter

0.001

NSUM

Number of modes considered in the field expansion

None

3


Netlist Example

Abend1 1 2 W1=3e-4 W2=5e-3 NSUM=3
+ COMPONENT=unmitered_bend SUBSTRATE=FR4

where FR4, the selected layout technology or substrate type, has a definition such as:

.SUB FR4 MS( H=7.6200e-004 Er=4.4 TAND=0.02 TANM=0
+ MSat=0 MRem=0 HU=0.00508 MET1=1.72413793103448
+ T1=1.7145e-005 RGH=0mil)

Notes

1. [All substrates] This element refers to a right angle bend, where the two intersecting lines can be defined with different widths. The outer corner of the bend is not mitered.

2. [All substrates] Reference planes coincide with the inside vertex of the corner.

3. [Microstrip] Radiation loss is included if a cover is not specified in the substrate definition.

References

1. Wolff, G. Kompa, and R. Mehran, “Calculation method for microstrip discontinuities and T-junctions,” Electron. Lett., Vol. 8, 1972, pp. 177-179.

2. G. Kompa, and R. Mehran, “Planar waveguide model for calculating microstrip components,” Electron. Lett., Vol. 11, 1975, pp. 459-460.

3. T. Okoshi, Planar Circuits for Microwaves and Lightwaves, Springer-Verlag, Berlin, New York, 1983.




HFSS视频教学培训教程 ADS2011视频培训教程 CST微波工作室教程 Ansoft Designer 教程

                HFSS视频教程                                      ADS视频教程                               CST视频教程                           Ansoft Designer 中文教程


 

      Copyright © 2006 - 2013   微波EDA网, All Rights Reserved    业务联系:mweda@163.com