淘宝官方店     推荐课程     在线工具     联系方式     关于我们  
 
 

微波射频仿真设计   Ansoft Designer 中文培训教程   |   HFSS视频培训教程套装

 

Agilent ADS 视频培训教程   |   CST微波工作室视频教程   |   AWR Microwave Office

          首页 >> Ansoft Designer >> Ansoft Designer在线帮助文档


Ansoft Designer / Ansys Designer 在线帮助文档:


Nexxim Simulator >
Nexxim Component Models >
MOSFET Levels 55 through 99 >
   PSP 102.1 MOSFET Local Model (Level 69, BINMOD=0, GEOMOD=0)       

PSP 102.1 MOSFET Local Model (Level 69, BINMOD=0, GEOMOD=0)

The syntax for a Level 69 PSP102.1 local model MOSFET model is:

.MODEL modelname NMOS LEVEL=69 [(][parameter=val] ... [)]

or

.MODEL modelname PMOS LEVEL=69 [(][parameter=val] ... [)]

modelname is the name used by MOSFET instances to refer to this .MODEL statement. The LEVEL=69 entry (plus the parameters BINMOD=0 and GEOMOD=0 on the instance) selects the PSP 102.1 MOSFET local model.

 


Level 69 PSP 102.1 MOSFET Local Model Selector Parameters

Model Parameter

Description

Unit

Default

LEVEL

69 is required to select the PSP 102.1 MOSFET model. The instance parameters BINMOD=0 and GEOMOD=0 select the local model over the global and binned models.

None

1 (default if LEVEL parameter is omitted)

SWIGATE

Flag for gate current (0 = off)

None

0

SWIMPACT

Flag for impact ionization current (0 = off)

None

0

SWGIDL

Flag for GIDL/GISL current (0 = off)

None

0

SWJUNCAP

Flag for JUNCAP model (0 = off)

None

0


 


Level 69 PSP 102.1 MOSFET Local Model Parameters

Model Parameter

Description

Unit

Default

TR (TREF, TNOM)

Reference temperature

°C

21.0

VFB

Geometry-independent flat-band voltage at reference temperature

Volt

-1.0

STVFB

Geometry-independent temperature dependence of flat-band voltage

Volt/°K

5.0e-4

TOX

Gate oxide thickness

Meter

2.0e-9

NEFF

Geometry-independent substrate doping

1/Meter3

5.0e23

VNSUB

Effective doping bias-dependence parameter

Volt

0.0

NSLP

Effective doping bias-dependence parameter

Volt

0.05

DNSUB

Effective doping bias-dependence parameter

1/Volt

0.0

QMC

Quantum-mechanical correction factor

None

1.0

CT

Geometry-independent interface states factor

None

0.0

TOXOV

Overlap oxide thickness

Meter

2.0e-9

NOV

Effective doping of overlap region

1/Meter3

5.0e25


 


Level 69 PSP 102.1 Local Model MOSFET DIBL Parameters

Model Parameter

Description

Unit

Default

CF

Geometry-independent drain-bias dependence of lateral gradient factor CF

 

0.0

CFB

Back-bias dependence of drain-bias dependence of lateral gradient factor CF

1/Volt

0.0


 


Level 69 PSP 102.1 Local Model MOSFET Mobility Parameters

Model Parameter

Description

Unit

Default

BETN

Geometry-independent BETN

 

0.07

STBET

Geometry-independent temperature dependence of BETN

 

1.0

MUE

Geometry-independent mobility reduction coefficient MUE at reference temperature

Meter/Volt

0.5

STMUE

Temperature dependence of MUE

None

0.0

THEMU

Mobility reduction exponent at reference temperature

None

1.5

STTHEMU

Temperature dependence of mobility reduction exponent THEMU

None

1.5

CS

Geometry-independent Coulomb scattering parameter CS at reference temperature

None

0.0

STCS

Temperature dependence of CS

None

0.0

XCOR

Geometry-independent non-universality parameter

1/Volt

0.0

STXCOR

Temperature dependence of XCOR

None

0.0


 


Level 69 Local Model MOSFET Series Resistance Parameters

Model Parameter

Description

Unit

Default

RS

Source/drain series resistance for a channel width of 1mm at reference temperature

Ohm

30.0

STRS

Temperature dependence of source/drain series resistance

None

1.0

RSB

Back-bias dependence of series resistance

1/Volt

0.0

RSG

Gate-bias dependence of series resistance

1/Volt

0.0


 


Level 69 Local Model MOSFET Velocity Saturation Parameters

Model Parameter

Description

Unit

Default

THESAT

Geometry-independent velocity saturation parameter at reference temperature

1/Volt

0.0

STTHESAT

Geometry-independent temperature dependence of THESAT

None

1.0

THESATB

Back-bias dependence ot THESAT

1/Volt

0.0

THESATG

Gate-bias dependence of THESAT

1/Volt

0.0


 


Level 69 Local Model MOSFET Saturation Voltage Parameters

Model Parameter

Description

Unit

Default

AX

Geometry-independent linear/saturation transition parameter

None

3.0


 


Level 69 Local Model MOSFET CLM Parameters

Model Parameter

Description

Unit

Default

ALP

Geometry-independent CLM prefactor ALP

 

0.01

ALP1

Geometry-independent CLM prefactor above threshold ALP1

 

0.0

ALP2

Geometry-independent CLM prefactor below threshold ALP2

None

0.0

VP

CLM logarithmic dependence factor

Volt

0.05


 


Level 69 Local Model MOSFET Impact Ionization Parameters

Model Parameter

Description

Unit

Default

A1

Geometry-independent part of impact-ionization prefactor A1

None

1.0

A2

Impact-ionization exponent at reference temperature

Volt

10.0

STA2

Temperature dependence of A2

Volt

0.0

A3

Geometry-independent saturation voltage dependence of impact ionization

None

1.0

A4

Geometry-independent back-bias dependence of impact ionization

Volt0.5

0.0


 


Level 69 Local Model MOSFET Gate Currrent Parameters

Model Parameter

Description

Unit

Default

GCO

Gate tunneling energy adjustment

None

0.0

IGINV

Gate channel current prefactor for a gate channel area of 1mm2

 

0.0

IGOV

Gate overlap current prefactor for a channel width of 1mm

 

0.0

STIG

Temperature dependence of gate current

None

2.0

GC2

Gate current slope factor

None

0.375

GC3

Gate current curvature factor

None

0.063

CHIB

Tunneling barrier height

Volt

3.1


 


Level 69 Local Model MOSFET GIDL Parameters

Model Parameter

Description

Unit

Default

AGIDL

Geometry-independent GIDL prefactor

 

0.0

BGIDL

GIDL probability factor at reference temperature

Volt

41.0

STBGIDL

Temperature dependence of BGIDL

Volt/°K

0.0

CGIDL

Back-bias dependence of GIDL

None

0.0


 


Level 69 Local Model MOSFET Charge Model Parameters

Model Parameter

Description

Unit

Default

CFR

Outer fringe capacitance for a channel width of 1mm

Farad

0.0


 


Level 69 Local Model MOSFET Noise Model Parameters

Model Parameter

Description

Unit

Default

FNT

Thermal noise coefficient

None

1.0

NFA

First coefficient of flicker noise for a channel area of 1mm2

1/Volt-Meter4

8.0e22

NFB

Second coefficient of flicker noise for a channel area of 1mm2

1/Volt-Meter2

3.0e7

NFC

Third coefficient of flicker noise for a channel area of 1mm2

1/Volt

0.0


 


Level 69 Local Model MOSFET Temperature Offset Parameters

Model Parameter

Description

Unit

Default

DTA

Temperature offset from ambient circuit temperature

°K

0.0


 

 


Level 69 Local Model MOSFET Basic Junction Model Parameters

Model Parameter

Description

Unit

Default

TRJ

Reference temperature

°C

21.0

IMAX

Maximum current up to which forward current behaves exponentially

Ampere

1000.0


 


Level 69 Local Model MOSFET JUNCAP2 Capacitance Parameters

Model Parameter

Description

Unit

Default

CJORBOT

Zero-bias capacitance per unit area of bottom component

Farad/Meter2

1.0e-3

CJORSTI

Zero-bias capacitance per unit length of STI-edge component

Farad/Meter

1.0e-9

CJORGAT

Zero-bias capacitance per unit length of gate-edge component

Farad/Meter

1.0e-9

VBIRBOT

Built-in voltage at the reference temperature of bottom component

Volt

1.0

VBIRSTI

Built-in voltage at the reference temperature of STI-edge component

Volt

1.0

VBIRGAT

Built-in voltage at the reference temperature of gate-edge component

Volt

1.0

PBOT

Grading coefficient of bottom component

None

0.5

PSTI

Grading coefficient of STI-edge component

None

0.5

PGAT

Grading coefficient of gate-edge component

None

0.5


 


Level 69 Local Model MOSFET JUNCAP2 Ideal Current Parameters

Model Parameter

Description

Unit

Default

PHIGBOT

Zero-temperature bandgap voltage of bottom component

Volt

1.16

PHIGSTI

Zero-temperature bandgap voltage of STI-edge component

Volt

1.16

PHIGGAT

Zero-temperature bandgap voltage of gate-edge component

Volt

1.16

IDSATRBOT

Saturation current density at the reference temperature of bottom component

Ampere/Meter2

1.0e-12

IDSATRSTI

Saturation current density at the reference temperature of STI-edge component

Ampere/Meter

1.0e-18

IDSATRGAT

Saturation current density at the reference temperature of gate-edge component

Ampere/Meter

1.0e-18

CSRHBOT

Shockley-Read-Hall prefactor of bottom component

Ampere/Meter3

1.0e2

CSRHSTI

Shockley-Read-Hall prefactor of STI-edge component

Ampere/Meter2

1.0e-4

CSRHGAT

Shockley-Read-Hall prefactor of gate-edge component

Ampere/Meter2

1.0e-4

XJUNSTI

Junction depth of STI-edge component

Meter

1.0e-7

XJUNGAT

Junction depth of gate-edge component

Meter

1.0e-7

CTATBOT

Trap-assisted tunneling prefactor of bottom component

Ampere/Meter3

1.0e2

CTATSTI

Trap-assisted tunneling prefactor of STI-edge component

Ampere/Meter2

1.0e-4

CTATGAT

Trap-assisted tunneling prefactor of gate-edge component

Ampere/Meter2

1.0e-4

MEFFTATBOT

Effective mass (in units of m0) for trap-assisted tunneling of bottom component

None

0.25

MEFFTATSTI

Effective mass (in units of m0) for trap-assisted tunneling of STI-edge component

None

0.25

MEFFTATGAT

Effective mass (in units of m0) for trap-assisted tunneling of gate-edge component

None

0.25


 


Level 69 Local Model MOSFET JUNCAP2 Band-to-Band Tunneling Parameters

Model Parameter

Description

Unit

Default

CBBTBOT

Band-to-band tunneling prefactor of bottom component

Ampere/Volt3

1.0e-12

CBBTSTI

Band-to-band tunneling prefactor of STI-edge component

Ampere-Meter/Volt3

1.0e-18

CBBTGAT

Band-to-band tunneling prefactor of gate-edge component

Ampere-Meter/Volt3

1.0e-18

FBBTRBOT

Normalization field at the reference temperature for band-to-band tunneling prefactor of bottom component

Volt/Meter

1.0e9

FBBTRSTI

Normalization field at the reference temperature for band-to-band tunneling prefactor of STI-edge component

Volt/Meter

1.0e9

FBBTRGAT

Normalization field at the reference temperature for band-to-band tunneling prefactor of gate-edge component

Volt/Meter

1.0e9

STFBBTBOT

Temperature scaling parameter for band-to-band tunneling prefactor of bottom component

1/°K

-1.0e-3

STFBBTSTI

Temperature scaling parameter for band-to-band tunneling prefactor of STI-edge component

1/°K

-1.0e-3

STFBBTGAT

Temperature scaling parameter for band-to-band tunneling prefactor of gate-edge component

1/°K

-1.0e-3


 


Level 69 Local Model MOSFET JUNCAP2 Avalanche and Breakdown Parameters

Model Parameter

Description

Unit

Default

VBRBOT

Breakdown voltage of bottom component

Volt

10.0

VBRSTI

Breakdown voltage of STI-edge component

Volt

10.0

VBRGAT

Breakdown voltage of gate-edge component

Volt

10.0

PBRBOT

Breakdown onset tuning parameter of bottom component

Volt

4.0

PBRSTI

Breakdown onset tuning parameter of STI-edge component

Volt

4.0

PBRGAT

Breakdown onset tuning parameter of gate-edge component

Volt

4.0


 

 


Level 69 Local Model MOSFET NQS Model Parameters

Model Parameter

Description

Unit

Default

SWNQS

Switch for NQS effects

0 = off

1,2,3,5, or 9 = number of collocation points

None

0

MUNQSO

Relative mobility for NQS modeling

None

1.0

RGO

Gate resistance Rgate

Ohm

1.0e-3

RBULKO

Bulk resistance Rbulk

Ohm

1.0e-3

RWELLO

Well resistance Rwell

Ohm

1.0e-3

RJUNSO

Source-side bulk resistance Rjuns

Ohm

1.0e-3

RJUNDO

Drain-side bulk resistance Rjund

Ohm

1.0e-3


 


Level 69 Local Model MOSFET PSP 101 Compatibility Parameters

Model Parameter

Description

Unit

Default

NP

 

Meter

1.0e26

DPHIB

Geometry-independent offset of PHIB

Volt

0.0

FETA

Effective field parameter

None

1.0

COX

Geometry independent oxide capacitance

Farad

1e-14

CGOV

Geometry independent gate overlay capacitance

Farad

1e-15

CGBOV

 

 

1e-15


 

PSP 102.1 Geometry and Stress Dependence Model Equations

1 Geometrical Scaling Equations

1.1 Effective Length and Width

 

LEN = 10-6

 

WEN = 10-6

 

[spacer]

 

 

 

[spacer]

 

 

 

LE = L - DL = L + DLPS - 2 ´ LAP

 

WE = W - DW = W + DWOD - 2 ´ WOT

 

LE,CV = L + DLPS - 2 ´ LAP + DLQ

 

WE,CV = W + DWOD - 2 ´ LAP + DWQ

 

LG,CV = L + DLPS + DLQ

 

WG,CV = W + DWOD + DWQ

 

1.2 Process Parameters

 

[spacer]

 

 

 

[spacer]

 

 

 

 

[spacer]

 

 

 

 

[spacer]

 

 

 

 

[spacer]

 

 

 

For LE < Lpckeff

 

[spacer]

 

 

 

For Lpckeff < LE < 2Lpckeff

 

[spacer]

 

 

 

For LE > 2Lpckeff

 

[spacer]

 

 

 

Where:

a = 7.5´1010

 

[spacer]

 

 

 

[spacer]

 

 

 

VNSUB = VNSUBO

 

NSLPB = NSLPO

 

DNSUB = DNSUBO

 

[spacer]

 

 

 

[spacer]

 

 

 

[spacer]

 

 

 

TOXOV = TOXOVO

 

NOV = DNOVO

 

1.3 DIBL Parameters

 

[spacer]

 

 

CFB = CFBO

 

1.4 Mobility Parameters

 

[spacer]

 

 

 

[spacer]

 

 

 

[spacer]

 

 

 

[spacer]

 

 

 

[spacer]

 

 

 

 

 

[spacer]

 

 

[spacer]

STMUE = STMUEO

 

THEMU = THEMUO

 

STTHEMU = STTHEMUO

 

[spacer]

 

 

 

STCS = STCSO

 

[spacer]

 

 

STXCOR = STXCORO

 

FETA = FETAO

 

1.5 Series Resistance Parameters

 

[spacer]

 

STRS = STRSO

 

RSB = RSBO

 

RSG = RSGO

 

1.6 Velocity Saturation Parameters

 

[spacer]

 

 

 

 

 

[spacer]

 

 

 

 

THESATB = THESATBO

 

THESATG = THESATGO

 

1.7 Saturation Voltage Parameter

 

[spacer]

 

 

 

 

1.8 Channel Length Modification (CLM) Parameters

 

[spacer]

 

 

 

 

[spacer]

 

 

 

 

 

 

[spacer]

 

 

 

 

VP = VPO

 

1.9 Impact Ionization (II) Parameters

 

[spacer]

 

 

A2 = A2O

 

STA2 = STA2O

 

[spacer]

 

 

 

[spacer]

 

 

 

1.10 Gate Current Parameters

GCO = GCOO

 

[spacer]

 

 

 

[spacer]

 

 

 

STIG = STIGO

 

A2 = A2O

 

GC2 = GC2O

 

GC3 = GC3O

 

CHIB = CHIBO

 

 

 

 

 

 

1.11 Gate-Induced Drain Leakage (GIDL) Parameters

 

[spacer]

 

 

BGIDL = BGIDLO

 

STBGIDL = STBGIDLO

 

CGIDL = CGIDLO

 

1.12 Charge Model Parameters

 

[spacer]

 

 

 

[spacer]

 

 

 

[spacer]

 

 

 

[spacer]

 

 

 

1.12 Noise Model Parameters

 

[spacer]

 

 

 

[spacer]

 

 

 

[spacer]

 

 

 

 

 

2. Binning Model Equations

Within a PSP 102.1 model, model parameters are adjusted by the effective channel length and width. There are four types of binning geometry adjustments. The formulas for the adjustment use the following symbols:

POx = value of the geometry-independent model parameter “x”, for example POVFB.

PLx = value of the length dependence parameter “x”, for example PLVFB.

PWx = value of the width dependence parameter “x”, for example PWVFB.

PWLx = value of the cross dependence parameter “x”, for example PLWVFB.

Le = effective channel length.

We= effective channel width.

Len = normalized effective channel length.

Wen = normalized effective channel width.

Type I adjustment:

Value = POx+PLx*(Len/Le)+PWx*(Wen/We)+PLWx*(Len/Le)*(Wen/We)

Type II adjustment:

Value = POx+PLx*(Le/Len)+PWx*(We/Wen)+PLWx*(Le/Len)*(We/Wen)

Type III adjustment:

Value = POx+PLx*(Len/Le)+PWx*(We/Wen)+PLWx*(Len/Le)*(We/Wen)

Type IV adjustment (no binning):

Value = POx

The parameters that receive Type I adjustments are VFB, STVFB, NEFF, DPHIB, NP, CT, NOV, CF, STBET, MUE, CS, XCOR, RS, THESAT, STTHESAT, THESATB, THESATG, AX, ALP, ALP1, ALP2, A1, A3, A4, NFA, NFB, NFC.

The parameters that receive Type II adjustments are IGINV, COX, CGBOV.

The parameters that receive Type III adjustments are BETN, IGOV, AGIDL, CGOV, CFR.

2.1 Effective Length and Width for Binning Parameters

 

LEN = 10-6

 

WEN = 10-6

 

[spacer]

 

 

 

[spacer]

 

 

 

LE = L - DL = L + DLPS - 2 ´ LAP

 

WE = W - DW = W + DWOD - 2 ´ WOT

 

LE,CV = L + DLPS - 2 ´ LAP + DLQ

 

WE,CV = W + DWOD - 2 ´ WOT + DWQ

 

LG,CV = L + DLPS + DLQ

 

WG,CV = W + DWOD + DWQ

 

 

 

 

 

 

 

 

 

 

 

 

 

 

 

3. Parameter Modifications due to Stress Effects

3.1 Layout Effects for Regular Shapes

 

[spacer]

 

 

 

[spacer]

 

 

 

[spacer]

 

 

 

[spacer]

 

 

 

3.2 Layout Effects for Irregular Shapes

 

 

[spacer]

 

 

 

 

[spacer]

 

 

 

3.3 Calculation of Parameter Modifications

 

 

[spacer]

 

 

 

 

 

 

[spacer]

 

 

 

 

 

[spacer]

 

 

 

[spacer]

 

 

 

[spacer]

 

 

 

3.3.1 Threshold Voltage Equations

 

 

[spacer]

 

 

 

 

 

DR = RA + RB - RA,ref - RB,ref

 

 

[spacer]

 

 

 

[spacer]

 

 

 

4. Internal Parameters including Temperature Scaling

4.1 Transistor Temperature

 

TKR = T0 + TR

 

TKD = T0 + TA + DTA

 

DT = TKD -TKR

 

 

 

[spacer]

 

 

 

4.2 Local Process Parameters

 

[spacer]

 

 

 

VFB = VFB + STVFB ´ DT

 

[spacer]

 

 

 

[spacer]

 

 

 

[spacer]

 

 

 

[spacer]

 

 

Cox = eox/TOX

 

 

[spacer]

 

 

 

[spacer]

 

 

 

4.3 Polysilicon Depletion Parameters

 

4.3.1 If NP = 0

 

kP = 0

 

4.3.2 If NP > 0

 

[spacer]

 

 

 

[spacer]

 

 

 

[spacer]

 

 

 

4.4 Quantum-Mechanical Correction Parameters

 

qlim = 10 fT

 

For NMOS:

 

[spacer]

 

 

For PMOS:

 

[spacer]

 

 

 

[spacer]

 

 

[spacer]

 

 

 

[spacer]

 

 

 

4.5 VSB-Clipping Parameters

 

fX = 0.95 ´ fB

 

[spacer]

 

 

[spacer]

 

 

[spacer]

 

 

[spacer]

 

 

4.6 Local Process Parameters in Gate Overlap Regions

 

 

[spacer]

 

 

 

[spacer]

 

 

 

 

[spacer]

 

 

 

[spacer]

 

 

 

4.7 Mobility Parameters

 

[spacer]

 

 

 

[spacer]

 

 

 

[spacer]

 

 

 

[spacer]

 

 

 

[spacer]

 

 

 

[spacer]

 

 

For NMOS:

 

hm = FETA/2

 

For PMOS:

 

hm = FETA/3

 

4.7 Series Resistance Parameters

 

[spacer]

 

 

 

[spacer]

 

 

4.7 Velocity Saturation Parameters

 

[spacer]

 

 

4.8 Impact Ionization Parameters

 

[spacer]

 

 

 

4.9 Gate Current Parameters

 

[spacer]

 

 

 

[spacer]

 

 

 

 

[spacer]

 

 

 

[spacer]

 

 

[spacer]

 

 

For GC3 < 0:

 

[spacer]

 

 

For GC3 ³ 0:

GCQ = 0

 

[spacer]

 

 

 

[spacer]

 

 

[spacer]

 

 

 

 

4.10 Gate-Induced Drain Leakage (GIDL) Parameters

 

[spacer]

 

 

 

[spacer]

 

 

 

4.11 Noise Parameters

 

[spacer]

 

 

4.12 Additional Internal Parameters

 

x1 = 1.25

 

[spacer]

 

 

5. Model Internal Equations

 

5.1 Conditioning of Terminal Voltages

 

[spacer]

 

 

[spacer]

 

 

[spacer]

 

 

[spacer]

 

 

 

[spacer]

 

 

5.1.1 Drain-Induced Barrier Lowering

 

DVG = CF ´ Vdsx ´ (1 + CFB ´ Vsbx)

 

[spacer]

 

 

 

[spacer]

 

 

 

5.2 Bias-Dependent Body Factor

 

[spacer]

 

 

[spacer]

 

 

5.3 Surface Potential at Source Side and Related Variables

 

[spacer]

 

 

 

[spacer]

 

 

 

[spacer]

 

 

[spacer]

 

 

5.3.1 If xg < -xmrg

 

yg = -xg

 

[spacer]

 

 

 

[spacer]

 

 

 

[spacer]

 

 

[spacer]

 

 

 

[spacer]

 

 

 

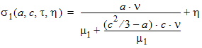
y0 = s1(a, c, t, h)

 

D0 = exp(y0)

 

p = 2(yg - y0) + G2(D0 - 1 + Dns[1 - c(y0) - 1/D0])

 

q = (yg - y0)2 + G2(y0 - D0 + 1 + Dns[1 + c(y0) - 1/D0 - 2y0])

 

 

[spacer]

 

 

 

 

5.3.2 If |xg| £ xmrg

 

[spacer]

 

 

 

 

5.3.3 If xg > xmrg

 

[spacer]

 

 

 

[spacer]

 

 

 

 

[spacer]

 

 

 

bx = xns + 3

 

 

[spacer]

 

 

 

a = (xg - h)2 - G2(exp[-h] + h -1 -Dns[h + 1 + c(h)])

 

[spacer]

 

 

 

[spacer]

 

 

[spacer]

 

 

 

y0 = s2(a, b, c, t, h)

 

D0 = exp(y0)

 

[spacer]

 

 

 

 

[spacer]

 

 

 

[spacer]

 

 

 

 

5.3.4 For xg > 0

 

Es = exp(-xs)

 

[spacer]

 

 

 

Ps = xs - 1 + Es

 

5.3.5 For All xg

 

[spacer]

 

 

[spacer]

 

 

5.4 Drain Saturation Voltage (xg > 0)

 

[spacer]

 

 

 

 

[spacer]

 

 

 

[spacer]

 

 

5.4.1 For RSB ³ 0

rb = 1 + RSB ´ Vsbx

 

5.4.2 For RSB < 0

 

[spacer]

 

 

5.4.3 For RSG ³ 0

 

[spacer]

 

 

 

5.4.4 For RSG < 0

 

rg,s = 1 - RSG ´ qis

 

rs = qR ´ rb´ rg,s ´ qis

 

 

[spacer]

 

 

 

Eeff,s = Eeff0 (qbs + hm ´ qis)

 

 

 

 

[spacer]

 

 

 

5.4.5 For THESATB ³ 0

 

xtb = 1 + THESATB ´ Vsbx

 

5.4.6 For THESATB < 0

 

[spacer]

 

 

[spacer]

 

 

 

5.4.7 For THESATG ³ 0

 

[spacer]

 

5.4.8 For THESATG < 0

 

[spacer]

 

 

 

[spacer]

 

 

 

5.4.9 For NMOS

 

[spacer]

 

 

 

5.4.10 For PMOS

 

 

 

[spacer]

 

 

 

 

 

[spacer]

 

 

 

 

[spacer]

 

 

 

 

[spacer]

 

 

 

[spacer]

 

 

 

 

 

 

[spacer]

 

 

 

 

[spacer]

 

 

 

 

[spacer]

 

 

 

 

5.4 Surface Potential at Drain Side and Related Variables

 

5.4.1 For (xg > 0)

 

 

[spacer]

 

 

 

[spacer]

 

 

5.4.1.1 If xg £ xmrg

 

 

[spacer]

 

 

 

5.4.1.2 If xg > xmrg

 

bx = xnd + 3.0

 

 

[spacer]

 

 

 

[spacer]

 

 

[spacer]

 

 

 

[spacer]

 

 

 

[spacer]

 

 

 

[spacer]

 

 

[spacer]

 

 

[spacer]

 

 

 

[spacer]

 

 

 

 

[spacer]

 

 

 

 

5.4.1.3 For All (xg > 0)

 

xds = xd - xs

 

5.4.1.4 If xds < 10-10

 

[spacer]

 

 

 

[spacer]

 

 

[spacer]

 

 

 

[spacer]

 

 

 

xds = xd + xs

 

5.4.1.5 For All xds

 

[spacer]

 

 

[spacer]

 

 

 

[spacer]

 

 

5.4.1 For All xg

 

[spacer]

 

 

5.5 Mid-Point Surface Potential and Related Variables

5.5.1 If xg > 0

 

[spacer]

 

 

 

[spacer]

 

 

 

[spacer]

 

 

 

[spacer]

 

 

 

Pm = xm - 1 + Em

 

[spacer]

 

 

5.5.2 If xg £ 0

 

xm = xs

 

xgm = xg - xs

 

5.6 Polysilicon Depletion

The equations in this section are calculated only for kp > 0 and xg > 0 (otherwise hp = 1)

 

[spacer]

 

 

[spacer]

 

 

[spacer]

 

 

[spacer]

 

 

 

[spacer]

 

 

 

[spacer]

 

 

 

 

[spacer]

 

 

 

[spacer]

 

 

[spacer]

 

 

 

[spacer]

 

 

 

[spacer]

 

 

 

[spacer]

 

 

[spacer]

 

 

[spacer]

 

 

Pm = xm - 1 + Em

 

[spacer]

 

 

 

[spacer]

 

 

 

 

[spacer]

 

 

5.6 Potential Midpoint Inversion Charge and Related Variables

The equations in this section are calculated only for xg > 0

 

 

[spacer]

 

 

 

[spacer]

 

 

 

[spacer]

 

 

[spacer]

 

 

5.6.1 Series Resistance

 

5.6.1.1 for RSG ³ 0

 

[spacer]

 

 

5.6.1.2 for RSG < 0

 

[spacer]

 

 

5.6.1.3 For All RSG

 

[spacer]

 

 

5.6.2 Mobility Reduction

 

[spacer]

 

 

 

 

 

[spacer]

 

 

 

5.6 Drain-Source Channel Current

The equations in this section are calculated only for xg > 0

5.6.1 Channel Length Modulation

 

[spacer]

 

 

 

 

[spacer]

 

 

 

 

 

[spacer]

 

 

 

 

 

[spacer]

 

 

 

[spacer]

 

 

 

[spacer]

 

 

 

 

 

[spacer]

 

 

 

 

[spacer]

 

 

 

5.6.2 Velocity Saturation

 

[spacer]

 

 

 

5.6.2.1 For THESATG ³ 0

 

[spacer]

 

 

 

5.6.2.1 For THESATG < 0

 

[spacer]

 

 

 

5.6.2.3 For NMOS

 

[spacer]

 

 

 

 

 

5.6.2.3 For PMOS

 

[spacer]

 

 

 

5.6.2.4 For All THESATG, NMOS and PMOS

 

 

[spacer]

 

 

 

5.6.3 Drain-Source Channel Current

 

5.6.3.1 For xg £ 0

 

IDS = 0

 

5.6.3.2 For xg > 0

 

[spacer]

 

 

 

5.6 Auxiliary Variables for Calculating Intrinsic Charges and Gate Current

The equations in this section are calculated only for xg > 0

 

[spacer]

 

 

 

[spacer]

 

 

 

[spacer]

 

 

 

 

 

 

 

5.7 Impact Ionization or Weak Avalanche

The equations in this section are calculated only for SWIMPACT = 1 and xg > 0

 

[spacer]

 

 

[spacer]

 

 

5.7.1 For DVsat £ 0

 

Mavl = 0

 

5.7.2 For DVsat > 0

 

[spacer]

 

 

 

5.7.3 For all DVsat

 

[spacer]

 

 

5.7.4 Calculation of xov when xg < -xmrgov

 

yg = -xg

 

[spacer]

 

 

 

[spacer]

 

 

 

[spacer]

 

 

 

[spacer]

 

 

 

[spacer]

 

 

 

[spacer]

 

 

[spacer]

 

 

[spacer]

 

 

[spacer]

 

 

 

[spacer]

 

 

 

5.7.5 Calculation of xov when | xg | < xmrgov

 

[spacer]

 

 

 

5.7.4 Calculation of xov when xg > xmrgov

 

 

[spacer]

 

 

 

[spacer]

 

 

 

[spacer]

 

 

[spacer]

 

 

[spacer]

 

 

[spacer]

 

 

[spacer]

 

 

 

5.7.5 For All xg

 

[spacer]

 

 

 

[spacer]

 

 

 

[spacer]

 

 

 

[spacer]

 

 

 

5.8 Gate Current

The equations in this section are calculated only when SWIGATE = 1.

5.8.1 Source/Drain Gate Overlap Current

 

5.8.1.1 Calculation of [IGov(VGX, yov, Vov)]

 

[spacer]

 

 

[spacer]

 

 

5.8.1.1.1 zg Calculation For GC3 < 0

 

 

[spacer]

 

 

 

5.8.1.1.2 zg Calculation For GC3 ³ 0

 

 

[spacer]

 

 

 

 

 

5.8.1.1 Calculation of [IGov(VGX, yov, Vov)], Continued

 

 

[spacer]

 

 

 

 

[spacer]

 

 

 

 

 

[spacer]

 

 

 

5.8.1.2 Source-Drain Gate Overlap Current, Continued

 

[spacer]

 

 

 

[spacer]

 

 

 

5.8.2 Gate-Channel Current

 

 

[spacer]

 

 

 

[spacer]

 

 

 

[spacer]

 

 

 

 

 

 

5.8.2.1 zg Calculation For GC3 < 0

 

 

[spacer]

 

 

 

5.8.2.2 zg Calculation For GC3 ³ 0

 

 

[spacer]

 

 

5.8.2.3 Gate-Channel Current, Continued

 

 

[spacer]

 

 

 

 

 

[spacer]

 

 

 

 

 

[spacer]

 

 

 

5.8.2.4 Calculation of Pgc and Pgd when xg > 0

 

[spacer]

 

 

 

[spacer]

 

 

 

[spacer]

 

 

 

 

[spacer]

 

 

 

[spacer]

 

 

 

[spacer]

 

 

 

[spacer]

 

 

 

5.8.2.4 Calculation of Pgc and Pgd when xg £ 0

 

Pgc = 1

 

Pgd = 1/2

 

5.8.2.5 Gate-Channel Current, Continued

 

 

[spacer]

 

 

 

[spacer]

 

 

[spacer]

 

 

[spacer]

 

 

[spacer]

 

 

 

 

 

 

 

5.9 Gate-Induced Drain/Source Leakage Current

The equations in this section are calculated only when SWIGIDL = 1.

 

5.9.1 Calculation of Igixl(Vov,V)

 

[spacer]

 

 

[spacer]

 

 

5.9.1.1 For Vov < 0

 

[spacer]

 

 

5.9.1.1 For Vov ³ 0

 

Igixl = 0

 

5.9.2 Gate-Induced Drain/Source Leakage Current, Continued

 

[spacer]

 

 

 

[spacer]

 

 

 

5.10 Total Terminal Currents

 

ID = IDS + Iavl - IGDov - IGCD + Igidl

 

IS = -IDS - IGSov - IGCS + Igisl

 

IG = IGC + IGB + IGDov - IGSov

 

IB = -Iavl - IGB - Igidl - Igisl

 

 

 

5.11 Quantum-Mechanical Corrections

5.11.1 Calculation of qeff for xg £ 0

 

qeff = Voxm

 

5.11.2 Calculation of qeff for xg > 0

 

[spacer]

 

 

5.11.3 Calculation of COXqm for qq = 0

 

[spacer]

 

 

5.11.4 Calculation of COXqm for qq > 0

 

[spacer]

 

 

 

 

 

5.12 Intrinsic Charge Model

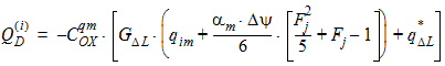
5.12.1 Calculation of QG(i) , QI(i) , QD(i) for xg > 0

 

[spacer]

 

 

 

[spacer]

 

 

 

[spacer]

 

 

 

[spacer]

 

 

 

[spacer]

 

 

 

 

[spacer]

 

 

 

5.12.2 Calculation of QG(i) , QI(i) , QD(i) for xg £ 0

 

[spacer]

 

 

 

[spacer]

 

 

 

[spacer]

 

 

5.12.3 Intrinsic Charge Model, Continued

 

[spacer]

 

 

 

[spacer]

 

 

5.13 Extrinsic Charge Model

5.13.1 Source and Drain Overlap Regions

 

[spacer]

 

 

[spacer]

 

 

5.13.2 Bulk Overlap Region

 

[spacer]

 

 

5.13.3 Outer Fringe

 

[spacer]

 

 

[spacer]

 

 

5.14 Total Terminal Charges

 

[spacer]

 

 

[spacer]

 

 

[spacer]

 

 

[spacer]

 

 

5.15 Noise Model

5.15.1 Flicker Noise Model

The equations in this section are calculated only for xg < 0.

 

fop = operating frequency supplied by the simulator

 

[spacer]

 

 

[spacer]

 

 

 

[spacer]

 

 

 

[spacer]

 

 

 

[spacer]

 

 

 

 

 

 

 

 

 

 

 

 

 

[spacer]

 

 

 

[spacer]

 

 

 

 

[spacer]

 

 

 

[spacer]

 

 

 

[spacer]

 

 

 

[spacer]

 

 

 

[spacer]

 

 

 

[spacer]

 

 

 

[spacer]

 

 

 

[spacer]

 

 

 

 

[spacer]

 

 

 

 

 

[spacer]

 

 

 

 

[spacer]

 

 

 

5.15.2 Gate Current Shot Noise

 

[spacer]

 

 

[spacer]

 

 

5.15.3 Avalanche Current Shot Noise

 

[spacer]

 

 

5.15.4 Thermal White Noise of NQS-Model Parasitic resistances

 

[spacer]

 

 

 

 

[spacer]

 

 

 

 

[spacer]

 

 

 

 

[spacer]

 

 

 

 

[spacer]

 

 

6 NQS Model Equations

Notes:

1. y is the normalized position along the channel (y=0 is the source side, y=1 is the drain side).

2. x is the surface potential (normalized to fT*) at a given position.

6.1 Internal Constants

6.1.1 Internal Constants n and h

n = SWNQS + 1

h = 1/n

 

6.1.2 Matrix A (n+1)´(n+1)

6.1.2.1 Initial Values

For i = 1 to (n-1):

Ai,j = 0

For i = 1 to n:

vi = 0

6.1.2.1 First Loop

For i = 1 to (n-1):

 

[spacer]

 

 

 

[spacer]

 

 

 

[spacer]

 

 

 

[spacer]

 

 

 

[spacer]

 

 

For j = 0 to n:

 

[spacer]

 

 

 

6.1.2.2 Second Loop (Back-Substitution)

For i = 1 to (n-1):

For j = 0 to n:

 

[spacer]

 

 

6.2 Position-Independent Quantities

 

6.2.1 Calculation of Gp

 

6.2.1.1 If xg > 0

 

[spacer]

 

 

 

[spacer]

 

 

 

[spacer]

 

 

 

6.2.1.1 If xg £ 0

 

[spacer]

 

 

Pd = 1

 

Gp = G

 

6.2.2 For All Gp

 

[spacer]

 

 

 

[spacer]

 

 

 

 

6.3 Position-Dependent Surface Potential and Charge

 

6.3.1 Interpolated (Quasi-Static) Surface Potential along the Channel:

 

 

[spacer]

 

 

 

6.3.2 Normalized Bulk Charge and its First Two Derivatives of Surface Potential

 

[spacer]

 

 

 

[spacer]

 

 

 

 

[spacer]

 

 

 

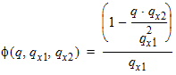
6.3.3 Surface Potential as a Function of Normalized Inversion Charge

6.3.3.1 If xg < -pmrg

 

yg = - xg

 

 

[spacer]

 

 

 

 

[spacer]

 

 

 

[spacer]

 

 

 

[spacer]

 

 

 

[spacer]

 

 

 

[spacer]

 

 

[spacer]

 

 

 

[spacer]

 

 

 

[spacer]

 

 

 

[spacer]

 

 

 

[spacer]

 

 

 

6.3.3.2 If | xg| £ pmrg

 

[spacer]

 

 

 

6.3.3.3 If xg > xmrg

 

[spacer]

 

 

 

 

[spacer]

 

 

 

 

[spacer]

 

 

 

[spacer]

 

 

 

[spacer]

 

 

 

 

[spacer]

 

 

 

[spacer]

 

 

 

[spacer]

 

 

 

6.3.4 For all P

 

[spacer]

 

 

 

6.3.5 Auxiliary Functions

 

[spacer]

 

 

 

[spacer]

 

 

 

 

[spacer]

 

 

 

 

 

 

 

6.3.6 Normalized Right-Hand Side of Continuity Equation [f(xg, q, q' q'')]

 

[spacer]

 

 

[spacer]

 

 

 

[spacer]

 

 

 

[spacer]

 

 

 

[spacer]

 

 

 

6.3.6.1 Calculation of zsat for NMOS

 

[spacer]

 

 

6.3.6.2 Calculation of zsat for PMOS

 

[spacer]

 

 

 

6.3.6.3 For All Zsat

 

[spacer]

 

 

[spacer]

 

 

 

[spacer]

 

 

6.3.7 Normalization Constant

 

[spacer]

 

 

6.4 Cubic Spline Interpolation

 

[spacer]

 

 

[spacer]

 

 

For 1 £ i £ (n-1)

 

[spacer]

 

 

 

For 1 £ i £ (n-1)

 

[spacer]

 

 

 

6.5 Continuity Equation

 

[spacer]

 

 

[spacer]

 

 

Note: x0,0 = xs and xn,0 = xd

 

For 1 £ i £ (n-1)

 

 

[spacer]

 

 

 

[spacer]

 

 

 

 

 

 

 

 

6.6 Non-Quasi-Static Terminal Charges

 

 

[spacer]

 

 

 

 

[spacer]

 

 

 

 

[spacer]

 

 

 

[spacer]

 

 

 

 

[spacer]

 

 

 

 

[spacer]

 

 

 

[spacer]

 

 

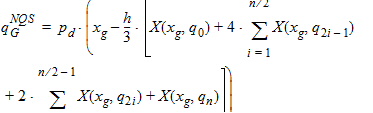
6.6.1 Calculation of qGNQS when SWNQS is odd (1, 3, 5, or 9)

 

[spacer]

 

 

 

 

 

 

 

 

 

6.6.1 Calculation of qGNQS when SWNQS is 2

 

 

[spacer]

 

 

 

6.6.2 Conversion to Conventional Units

 

[spacer]

 

 

 

[spacer]

 

 

 

[spacer]

 

 

 

[spacer]

 

 

 

7 Auxiliary Equations

7.1 Smoothing Functions

 

 

[spacer]

 

 

 

[spacer]

 

 

 

7.2 Surface Potential Approximation Functions

 

[spacer]

 

 

 

[spacer]

 

 

 

[spacer]

 

 

 

[spacer]

 

 

 

[spacer]

 

 

 

[spacer]

 

 

 

 

 

[spacer]

 

 

 

[spacer]

 

 

 

 

 

 

 

 

 

 

 

 

 

 

 

 

 




HFSS视频教学培训教程 ADS2011视频培训教程 CST微波工作室教程 Ansoft Designer 教程

                HFSS视频教程                                      ADS视频教程                               CST视频教程                           Ansoft Designer 中文教程


 

      Copyright © 2006 - 2013   微波EDA网, All Rights Reserved    业务联系:mweda@163.com